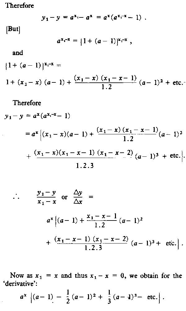
Marx's Mathematical Manuscripts

p11